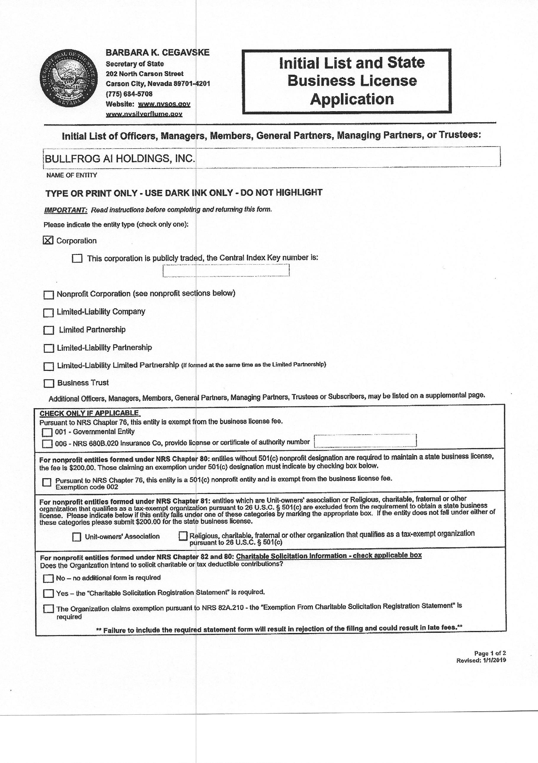
Exhibit 3.1